Supplement Tariff Code . You can also use the service to: How to use the trade tariff tool or get help to. This means it can be used for import declarations for the. The code above is a complete taric code. Vitamins and their derivatives, used primarily as vitamins, unmixed (excl. importing food supplements and health foods. Guidance on labelling, contaminants and what to look out. finding commodity codes for imports into or exports out of the uk. provitamins and mixtures of vitamins, of provitamins or of concentrates, whether or not in any solvent, and natural concentrates. use this service to find a commodity code for goods you’re importing to or exporting from the uk. it all starts with a valid hs code. customs tariff number 29362700.
from www.pdffiller.com
it all starts with a valid hs code. importing food supplements and health foods. Guidance on labelling, contaminants and what to look out. How to use the trade tariff tool or get help to. finding commodity codes for imports into or exports out of the uk. use this service to find a commodity code for goods you’re importing to or exporting from the uk. customs tariff number 29362700. You can also use the service to: Vitamins and their derivatives, used primarily as vitamins, unmixed (excl. This means it can be used for import declarations for the.
Fillable Online SUPPLEMENT No. 45 to Supplier Tariff Pa PUC No.1
Supplement Tariff Code You can also use the service to: You can also use the service to: The code above is a complete taric code. Guidance on labelling, contaminants and what to look out. provitamins and mixtures of vitamins, of provitamins or of concentrates, whether or not in any solvent, and natural concentrates. This means it can be used for import declarations for the. customs tariff number 29362700. How to use the trade tariff tool or get help to. Vitamins and their derivatives, used primarily as vitamins, unmixed (excl. importing food supplements and health foods. finding commodity codes for imports into or exports out of the uk. it all starts with a valid hs code. use this service to find a commodity code for goods you’re importing to or exporting from the uk.
From www.scribd.com
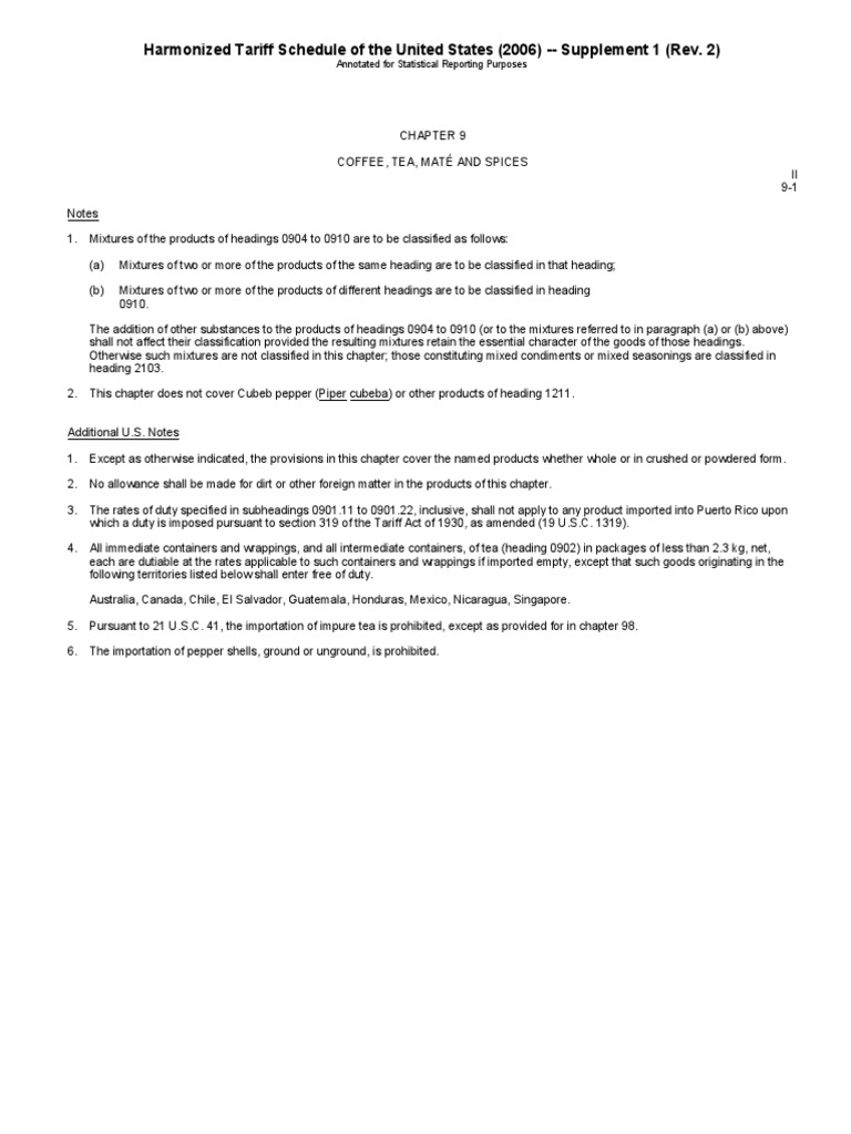
Harmonized Tariff Schedule of The United States (2006) Supplement 1 Supplement Tariff Code importing food supplements and health foods. How to use the trade tariff tool or get help to. Vitamins and their derivatives, used primarily as vitamins, unmixed (excl. customs tariff number 29362700. This means it can be used for import declarations for the. provitamins and mixtures of vitamins, of provitamins or of concentrates, whether or not in any. Supplement Tariff Code.
From ceknofbz.blob.core.windows.net
Hs Tariff Number For Dietary Supplements at John Wagner blog Supplement Tariff Code importing food supplements and health foods. finding commodity codes for imports into or exports out of the uk. it all starts with a valid hs code. Guidance on labelling, contaminants and what to look out. How to use the trade tariff tool or get help to. use this service to find a commodity code for goods. Supplement Tariff Code.
From vdocuments.mx
Tariff No. Revised Page No....Revised Page No. (For Official Use Only Supplement Tariff Code This means it can be used for import declarations for the. provitamins and mixtures of vitamins, of provitamins or of concentrates, whether or not in any solvent, and natural concentrates. Vitamins and their derivatives, used primarily as vitamins, unmixed (excl. The code above is a complete taric code. finding commodity codes for imports into or exports out of. Supplement Tariff Code.
From slideplayer.com
Gill Herbert, Consultancy & Development Ltd1 Domiciliary Care Supplement Tariff Code it all starts with a valid hs code. Guidance on labelling, contaminants and what to look out. How to use the trade tariff tool or get help to. customs tariff number 29362700. finding commodity codes for imports into or exports out of the uk. Vitamins and their derivatives, used primarily as vitamins, unmixed (excl. importing food. Supplement Tariff Code.
From www.southbankmarine.com
IMDG Code Supplement 2022 Supplement Tariff Code You can also use the service to: This means it can be used for import declarations for the. Vitamins and their derivatives, used primarily as vitamins, unmixed (excl. Guidance on labelling, contaminants and what to look out. How to use the trade tariff tool or get help to. it all starts with a valid hs code. finding commodity. Supplement Tariff Code.
From www.pdffiller.com
Fillable Online Fillable Online Supplement No. 10 Tariff WaterPA PUC Supplement Tariff Code finding commodity codes for imports into or exports out of the uk. customs tariff number 29362700. importing food supplements and health foods. This means it can be used for import declarations for the. use this service to find a commodity code for goods you’re importing to or exporting from the uk. Vitamins and their derivatives, used. Supplement Tariff Code.
From www.pdffiller.com
Fillable Online Supplement No. 21 to PA. PUC Tariff No. 4 RCN Fax Supplement Tariff Code finding commodity codes for imports into or exports out of the uk. Vitamins and their derivatives, used primarily as vitamins, unmixed (excl. How to use the trade tariff tool or get help to. Guidance on labelling, contaminants and what to look out. This means it can be used for import declarations for the. The code above is a complete. Supplement Tariff Code.
From www.scribd.com
Supplement No. 13 To Tariff Electric Pa. P.U.C. No. 6 Third Revised Supplement Tariff Code This means it can be used for import declarations for the. The code above is a complete taric code. importing food supplements and health foods. Guidance on labelling, contaminants and what to look out. You can also use the service to: finding commodity codes for imports into or exports out of the uk. How to use the trade. Supplement Tariff Code.
From www.pdffiller.com
Fillable Online SUPPLEMENT No. 45 to Supplier Tariff Pa PUC No.1 Supplement Tariff Code customs tariff number 29362700. Guidance on labelling, contaminants and what to look out. importing food supplements and health foods. How to use the trade tariff tool or get help to. finding commodity codes for imports into or exports out of the uk. This means it can be used for import declarations for the. You can also use. Supplement Tariff Code.
From archive.nkphts.org
NKPHTS SUPPLEMENT NO 11 TO TARIFF NO 4 The Nickel Plate Archive Supplement Tariff Code You can also use the service to: Guidance on labelling, contaminants and what to look out. use this service to find a commodity code for goods you’re importing to or exporting from the uk. provitamins and mixtures of vitamins, of provitamins or of concentrates, whether or not in any solvent, and natural concentrates. How to use the trade. Supplement Tariff Code.
From www.pdffiller.com
Fillable Online PGW Gas Service Tariff Pa. PUC No. 2 Supplement No. 157 Supplement Tariff Code provitamins and mixtures of vitamins, of provitamins or of concentrates, whether or not in any solvent, and natural concentrates. Vitamins and their derivatives, used primarily as vitamins, unmixed (excl. it all starts with a valid hs code. importing food supplements and health foods. How to use the trade tariff tool or get help to. Guidance on labelling,. Supplement Tariff Code.
From ceknofbz.blob.core.windows.net
Hs Tariff Number For Dietary Supplements at John Wagner blog Supplement Tariff Code it all starts with a valid hs code. The code above is a complete taric code. finding commodity codes for imports into or exports out of the uk. use this service to find a commodity code for goods you’re importing to or exporting from the uk. importing food supplements and health foods. You can also use. Supplement Tariff Code.
From ceyhbpey.blob.core.windows.net
Commodity Code For Dietary Supplement at Crandall blog Supplement Tariff Code use this service to find a commodity code for goods you’re importing to or exporting from the uk. customs tariff number 29362700. How to use the trade tariff tool or get help to. finding commodity codes for imports into or exports out of the uk. Guidance on labelling, contaminants and what to look out. it all. Supplement Tariff Code.
From www.comparemedicaresupplementplans.org
Cost of Medicare Supplement Plans 2024 Supplement Tariff Code This means it can be used for import declarations for the. it all starts with a valid hs code. You can also use the service to: customs tariff number 29362700. How to use the trade tariff tool or get help to. use this service to find a commodity code for goods you’re importing to or exporting from. Supplement Tariff Code.
From ceknofbz.blob.core.windows.net
Hs Tariff Number For Dietary Supplements at John Wagner blog Supplement Tariff Code importing food supplements and health foods. This means it can be used for import declarations for the. Vitamins and their derivatives, used primarily as vitamins, unmixed (excl. use this service to find a commodity code for goods you’re importing to or exporting from the uk. You can also use the service to: How to use the trade tariff. Supplement Tariff Code.
From www.pdffiller.com
CAISO TARIFF APPENDIX A Master Definitions Supplement Doc Template Supplement Tariff Code The code above is a complete taric code. Guidance on labelling, contaminants and what to look out. importing food supplements and health foods. Vitamins and their derivatives, used primarily as vitamins, unmixed (excl. You can also use the service to: customs tariff number 29362700. use this service to find a commodity code for goods you’re importing to. Supplement Tariff Code.
From ceknofbz.blob.core.windows.net
Hs Tariff Number For Dietary Supplements at John Wagner blog Supplement Tariff Code importing food supplements and health foods. The code above is a complete taric code. This means it can be used for import declarations for the. Vitamins and their derivatives, used primarily as vitamins, unmixed (excl. How to use the trade tariff tool or get help to. it all starts with a valid hs code. provitamins and mixtures. Supplement Tariff Code.
From www.pdffiller.com
Fillable Online Supplement No. 43 to Tariff Wastewater PA PUC No. 16 Supplement Tariff Code How to use the trade tariff tool or get help to. finding commodity codes for imports into or exports out of the uk. This means it can be used for import declarations for the. The code above is a complete taric code. Guidance on labelling, contaminants and what to look out. customs tariff number 29362700. importing food. Supplement Tariff Code.